Teoria stworzenia świata. Lemologiczne ćwiczenie ze sztuki translatorskiej
Tadeusz Sierotowicz
Centro Kopernik di Studi Interdisciplinari di Cracovia,
Istituto Superiore di Scienze Religiose di Bolzano e
IISS Gandhi di Merano
Ten adres pocztowy jest chroniony przed spamowaniem. Aby go zobaczyć, konieczne jest włączenie w przeglądarce obsługi JavaScript.
Abstract: tematem analiz jest teoria stworzenia świata zaproponowana przez profesora A. Dońdę tłumacząca Prolog Ewangelii wg św. Jana na język fizyki/matematyki/informatyki. Artykuł jest próbą konkretnego zastosowania interpretacji lemowej sztuki pisarstwa jako sztuki przekuwania (tłumaczenia) literatury, filozofii oraz teologii w biologię, chemię, fizykę, matematykę i nauki inne.
Słowa kluczowe: stworzenie świata, krytyka literacka, literatura, fizyka/matematyka/informatyka, Stanisław Lem.
Abstract: the subject of analysis is the theory of the creation of the world proposed by Professor A. Dońda, translating the Prologue of the Gospel according to St. John into the language of physics/mathematics/informatics. The article is an attempt of a concrete application of Lem's interpretation of the art of writing as the art of hammering (translating) literature, philosophy and theology into biology, chemistry, physics, mathematics and other sciences.
Key Words: creation of the world, literary analysis, literature, physics/mathematics/informatics, Stanisław Lem.
Wprowadzenie i słowo wyjaśnienia
W artykule „Traktat o szczęściu w języku nauki” została zaproponowana interpretacja sztuki pisarskiej Stanisława Lema jako sztuki tłumaczenia, m. in. kwestii teologicznych, na język nauki, matematyki, itp[1]. Niniejsza nota proponuje przykład takiego tłumaczenia. Jest ona rodzajem ćwiczenia wykonanego w ramach tak pojętej sztuki translatorskiej.
Zadanie jest następujące:
w oparciu o opowiadanie Stanisława Lema „Profesor A. Dońda”, zaproponować przekład chrześcijańskiej doktryny stworzenia świata w ujęciu św. Jana na język fizyki, matematyki i informatyki[2].
Postawione zadanie może być rozwiązane jak następuje.
Teoria stworzenia świata wg profesora Affidavida Dońdy
Słowo ciałem się stało (J 1,14) – sformułowanie należące do Prologu Ewangelii wg św. Jana to jedno z najpiękniejszych i jakże często cytowanych zdań z Prologu tej Ewangelii. Cały Prolog może być uważany za rodzaj opisu stworzenia świata. Jest to zarazem początek trajektorii rozumowanie profesora Affidavida Dońdy[3].
Oto zasadnicze węzły tego rozumowania, które dokonuje przekładu biblijnego opisu stworzenia świata na język fizyki, matematyki i informatyki.
Inspiracje:
Reguła F. Rosenblatta (1958) sformułowana w ramach jego badań nad perceptronami i uogólniająca tezę, że im perceptron większy, tym mniej musi się uczyć celem rozpoznawania kształtów geometrycznych: «perceptron nieskończenie wielki nie potrzebuje się uczyć niczego, gdyż wszystko umie od razu» (PAD, 353).
Prawo Dońdy: «to, co mały komputer może z wielkim programem, może też wielki komputer z programem małym; stąd wniosek logiczny, że program nieskończenie duży może działać sam, tj. bez jakiegokolwiek komputera» (PAD, 353).
Analogia teologiczna (J 1, 14): Boża recepta stworzenia: «odliczać od nieskończoności do zera». Kiedy Bóg dochodzi do zera, informacja się materializuje i powstaje kosmos (PAD, 367).
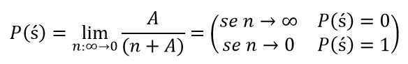
Konkluzja płynąca z powyższych inspiracji: niech P(ś) oznacza prawdopodobieństwo materialnego zaistnienia świata, A – boża idea świata (w sensie „ilości” informacji odpowiadającej tej idei – ilość „bitów” uważana za skończoną), n kolejne liczby, dla uproszczenia naturalne, od zera do nieskończoności. W tej sytuacji:
![]()
Mając na uwadze powyższą definicję opisową oraz odpowiednią definicję granicy skończonej w punkcie skończonym wg notacji Cauchy’ego dla funkcji ciągłej, pozostaje kwestia określenia stosownej wartości promienia δ otoczenia argumentu funkcji. Na to właśnie pytanie odpowiada teoria Dońdy, wychodząc poza język matematyki.
Sformułowanie teorii kosmokreacji profesora A. Dońdy:
Założenie: fizyka energii, materii, informacji i masy.
Zasada równoważność masy i informacji: ponieważ nieskończenie wiele informacji działa bezpośrednio, czyli bez urządzeń, ogrom informacji przejawia się wprost, a zatem informacja musi mieć masę (PAD, 363-364).
Współczynnik równoważności masa-informacja: 1,4·1016 bitów = 1 g (PAD, 363)[4].
Uogólnione prawo zachowania materii, energii i informacji: energia, materia i informacja są trzema postaciami masy i mogą przechodzić w siebie zgodnie z prawami zachowania. Tak, jak materia może zmienić się w energię, a energia i materia w informację, tak też informacja może przejść w materię i energię (PAD, 366).
Gęstość krytyczna masy informacji dla procesu obiit animus, natus est atomus czyli gęstość krytyczna przejścia informacji w materię/energię (gęstość analogiczna do gęstości krytycznej uranu inicjującej reakcję łańcuchową): 106 bitów/1 mm3 (PAD, 367)[5].
Wniosek: gdziekolwiek gęstość zmagazynowanej informacji przekroczy gęstość krytyczną masy informacji nastąpi jej przekształcenie w równoważną ilość protonów (PAD, 367).
Konsekwencja – podstawowa zasada kosmokreacji: proces, o którym w powyższym wniosku, prowadzi do powstania nowego kosmosu (zob. opis zjawiska w Dodatku). Dotyczy to także naszego Kosmosu, który powstał w wyniku przekroczenia gęstości krytycznej masy informacji w innym, uprzednio już istniejącym kosmosie (PAD, 368).
qed
QED
Przedstawione wyżej rozumowanie rozwiązuje postawione na wstępie zadanie. Tak więc to nie Bóg stworzył nasz świat wypowiadając słowa stające się materią (por. J, 1, 14), lecz inna cywilizacja przekraczając gęstość krytyczną masy informacji w ich kosmosie. Najprawdopobniej stało się to całkowicie przypadkowo: «rzec wolno, iż ludzie powtórzyli, dalipan, Genezę, co prawda zupełnie niechcący, a nawet wbrew żywionym intencjom, bo na tym najmniej im zależało» (PAD, 374). W tej sytuacji, jak słusznie konkluduje profesor Dońda, należy docenić dziejową rolą «błędu jako fundamentalnej Kategorii Istnienia». Prowadzi to do teorii «bytu, który na błędzie stoi, albowiem błąd się błędem odciska, błędem obraca, błąd tworzy, aż losowość zamienia się w Los Świata» (PAD, 377-378).
Powyższe konstatacje, uogólniające zaproponowane rozwiązane, pozostają w całkowitej zgodzie z lemową teorią literatury opisaną w jego Filozofii przypadku. Niektóre jej elementy zostały przedstawione we wspomnianym już artykule „Traktat o szczęściu w języku nauki”.
Dodatek – opis „przełomowej chwili” powstania innego kosmosu w naszym
«Rozległ się mały trzask i prask, pamięć maszynowa stała się w okamgnieniu biała jak umysł nowo narodzonego, a z informacji, wynicowanej na materialną stronę, powstał niespodziewanie malutki Kosmosek. Uniwersiątko, Wszechświatunio, ot, w kłębuszek atomowego prochu obróciła się wiedza gromadzona wiekami. […] Mikrokosmosek […] jest maciupeńki, a tak zamknięty, że niczym nie można doń wtargnąć. Podobno ze stanowiska naszej fizyki stanowi specjalną postać nicości, a mianowicie Nicość Wszędziegęstą, całkowicie Nieprzepuszczalną. Nie pochłania światła, nie można go rozciągnąć, ścisnąć, rozbić, wydrążyć, ponieważ znajduje się poza naszym Universum, choć niby w jego wnętrzu. Światło ześlizguje się po jego obłych poboczach, wymijają go dowolnie rozpędzone cząstki, i nie rozumiem tego, co oświadczyły autorytety, że jakoby ten, jak mawia Dońda - “Kosmosesek” - jest Wszechświatem, całkowicie dorównującym naszemu, czyli zawiera mgławice, galaktyki, chmury gwiazdowe, a może już i planety z lęgnącym się na nich życiem. Tym samym rzec wolno, iż ludzie powtórzyli, dalipan, Genezę, co prawda zupełnie niechcący, a nawet wbrew żywionym intencjom, bo na tym najmniej im zależało» (PAD, 373-374).
Tadeusz Sierotowicz
--------------------------------------------------------------------------
[1] Tadeusz Sierotowicz, „Traktat o szczęściu w języku nauki”, Latarnia-Morska – pomorski magazyn artystyczno-literacki, 2020 (https://www.latarnia-morska.eu/pl/z-dnia-na-dzien/3489-traktat-o-szcz%C4%99%C5%9Bciu-w-j%C4%99zyku-nauki; dostęp w dniu 29/11/20).
[2] S. Lem, „Profesor Dońda”, w: S. Lem, Dzienniki gwiazdowe, Wydawnictwo Literackie, Kraków 2020, ss. 339-378; opowiadanie będzie cytowane dalej jako PAD, z podaniem numeru strony.
[3] Rozwiązując niniejsze zadanie pomija się kwestię osoby profesora Dońdy oraz opis drogi, która doprowadziła profesora do sformułowania jego sławnego prawa. Personalia oraz okoliczności przyjścia na świat Affidavida Dońdy są wynikiem serii omyłek i zbiegów okoliczności. Był on profesorem śwarnetyki czyli „międzakiem” (PAD, 349 i 376). Innymi słowy zajmował się kwestiami interdyscyplinarnymi powstającymi na styku magii i nauki (PAD, 350).
[4] Zakrąglając nieco, opowiadanie „Profesor Dońda” zawiera 64000 znaków. Przyjmując następnie, że do zakodowania każdego znaku potrzeba 5 bitów, dochodzi się do konkluzji, iż „treść bitowa” opowiadania odpowiada masie około 2,3·10-11 g. Z kolei przymując, że zbiory Library of Congress w Waszyngtonie zawierają około 1014 bitów, ich masa wynosi 7·10-3 g.
[5] Trudno uzmysłowić sobie znaczenie tego parametru. Trudno też powiedzieć, czy cytowana z pamięci wartość gęstości krytycznej jest poprawna - być może pamięć zawiodła Ijona Tichego. Jak wiadomo manuskrypt Inquiry into the General Technology of Cosmoproduction profesora Dońdy się nie zachował (PAD, 375), stąd nie są znane szczegóły oddziaływania materii-energii-informacji. Jeżeli, w oparciu o analogię, wyjść od gęstości krytycznej uranu (prawie 50 kg 235U zamkniętych w kuli o promieniu około 8 cm), to dochodzi się do wartości o,o24 g uranu/1 mm3, co z kolei prowadzi do gęstości krytycznej masy informacji równej około 3,4·1014 bitów/1 mm3. Niezgodność wartości sugeruje zasadność hipotezy o możliwym błędzie i stanowi wyzwanie do dalszych badań, które jednak z braku miejsca nie mogą być tutaj podjęte.
Przeczytaj też u nas tekst T. Sierotowicza (w dziale ‘z dnia na dzień’) „Traktat o szczęściu w języku nauki”














